依據歐盟施行的個人資料保護法,我們致力於保護您的個人資料並提供您對個人資料的掌握。
按一下「全部接受」,代表您允許我們置放 Cookie 來提升您在本網站上的使用體驗、協助我們分析網站效能和使用狀況,
以及讓我們投放相關聯的行銷內容。您可以在下方管理 Cookie 設定。 按一下「確認」即代表您同意採用目前的設定。
石墨純化
特 性 :
⏺ 針對半導體產業使用之石墨塊材進行高溫純化,通過高溫及低壓氣氛,純度可由3N提升至5~6N。
⏺ 有效去除雜質元素(如金屬與氧化物),大幅降低材料不純度至 5 ppm以下,符合半導體極端高潔淨製程需求。
⏺ 結合多階段精密高溫熱處理與特殊氣氛控制機制,不僅具備更高的雜質去除效率,且可避免造成材料結構損傷。
應 用 :
(1) 單晶爐(長晶)用石墨坩鍋與熱場
(2) MOCVD磊晶設備石墨承載盤
(3) 離子植入機石墨零組件
(4) SiC長晶原料之高純度碳粉
服 務 :
◼️ 提供石墨塊材與粉體純化整體設計與代工服務。
產 品 :
⏺ 純化後石墨塊材
(1) 純 度 :> 99.9995%以上 (5N5)
(2) 雜質含量 :< 5 ppm
(3) 表面潔淨度:符合半導體級規範
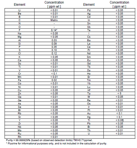
(4) GDMS 純度分析檢測結果 :

純 度 : 99.999929% 不純度 : 0.71ppm
⏺ 高純度碳粉
特 點 : 1. 產品純度 ≧ 99.9998 wt% (5N8)
2. 穩定性好
3. 石墨化度高雜質少
適用範圍 : 1. 合成高純度SiC粉或其他固相合成化物材料
2. 培育鑽石
3. 新型電子產品導熱材料
理化指標 :

依據歐盟施行的個人資料保護法,我們致力於保護您的個人資料並提供您對個人資料的掌握。
按一下「全部接受」,代表您允許我們置放 Cookie 來提升您在本網站上的使用體驗、協助我們分析網站效能和使用狀況,
以及讓我們投放相關聯的行銷內容。您可以在下方管理 Cookie 設定。 按一下「確認」即代表您同意採用目前的設定。
隱私權偏好設定中心
依據歐盟施行的個人資料保護法,我們致力於保護您的個人資料並提供您對個人資料的掌握。
按一下「全部接受」,代表您允許我們置放 Cookie 來提升您在本網站上的使用體驗、協助我們分析網站效能和使用狀況,
以及讓我們投放相關聯的行銷內容。您可以在下方管理 Cookie 設定。 按一下「確認」即代表您同意採用目前的設定。
管理同意設定
必要的Cookie
網站運行離不開這些 Cookie 且您不能在系統中將其關閉。通常僅根據您所做出的操作(即服務請求)來設置這些 Cookie,
如設置隱私偏好、登錄或填充表格。您可以將您的瀏覽器設置為阻止或向您提示這些 Cookie,但可能會導致某些網站功能無法工作。